Автор: ГалинаРаздел: Анализ микроструктуры материалов
Автор: ГалинаРаздел: Анализ микроструктуры материалов
Автор: Раздел: Атомно-силовая микроскопия
Автор: ГалинаРаздел: Анализ микроструктуры материалов
Автор: ВикторРаздел: Атомно-силовая микроскопия
Автор: ВикторРаздел: Атомно-силовая микроскопия
Автор: ВикторРаздел: Атомно-силовая микроскопия
Автор: ГалинаРаздел: Анализ микроструктуры материалов
Автор: ГалинаРаздел: Анализ микроструктуры материалов
Автор: ВикторРаздел: Анализ микроструктуры материалов
Нажимая кнопку «Подписаться», вы принимаете условия «Соглашения на обработку персональных данных».
Оценка удельной площади поверхности пористого диоксида кремния (тип изотермы IV) методом БЭТ

Метод Брунауэра-Эммета-Теллера (сокращенно метод БЭТ, ISO 9277) является наиболее распространенным методом оценки удельной площади поверхности. Удельная площадь поверхности макропористых, мезопористых и непористых твердых тел определяется путем измерения количества физически адсорбированного газа. Удельная площадь поверхности материала рассчитывается с помощью адсорбированного объема монослоя и пространства, необходимого для адсорбционной молекулы. Метод БЭТ применим к изотермам сорбции типа II и типа IV, и оценка проводится в диапазоне относительного давления p/p0 от 0.05 до 0.30 (рекомендация IUPAC).1 Изотермы I типа могут быть оценены с помощью графика Рукероля.2 Теория БЭТ основана на трех допущениях:
Допущения теории БЭТ:
- Поверхностная энергия однородна
- Нет взаимодействия между адсорбированными молекулами
- Энергия адсорбции над вторым слоем равна энергии конденсации
Изотерма сорбции азота Develosil 100 при 77 К (рис. 1) может быть отнесена к IV типу. По этой изотерме можно рассчитать график БЭТ, который показан на рис. 2. Площадь поверхности по БЭТ определяется с использованием значений измерения в области относительного давления от 0.05 до 0.30, согласно рекомендациям IUPAC. Удельная поверхность по БЭТ для Develosil 100 составляет 296 м2/г.3 Следует отметить, что константа C должна быть положительной, а коэффициент корреляции R² должен быть выше 0.99.
Рис.1 Изотерма сорбции азота Develosil 100 при 77 К, активированного в вакууме при комнатной температуре в течение 15 часов (слева) и график БЭТ для Develosil 100 (справа)
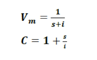
График БЭТ представляет собой преобразование изотермы адсорбции:
p: равновесное давление
p0: давление насыщенного пара
Vads: адсорбированное количество при равновесном давлении p
Vm: объем адсорбированного монослоя
C: константа БЭТ
C = exp((E1-EL)/RT) с теплотой адсорбции первого слоя E1 и теплотой сжижения EL соответственно испарения.
По наклону и пересечению линейной части графика БЭТ можно рассчитать объем монослоя Vm и константу БЭТ C:
Из объема монослоя удельную площадь поверхности по БЭТ получают по формуле:
R = 8,314 Дж/моль*К
Т (N2) = 77 К
Vmol = 22,414 x 10-3 м³/моль
NA = 6,022 x 1023 моль
ACS (N2) = 16,2 x10-20 м²
m = масса адсорбента в г
Ссылки
1. M. Thommes, K. Keneko, A. V. Neimark, J. P. Oliver, F. Rodriguez-Reinoso, J. Rouquerol and K. S. W. Sing, Pure Appl. Chem. 2015, 87, 1051–1069.
2. for TypeI isotherms the evaluation is also carried out below the relative pressure of 0.05; see Appnote 3.
3. Evaluation of the pore surface area and pore volume of Develosil 100 is presented in Material No. 7 (mesopore evaluation by BJH method) and No. 9 (evaluation by t-plot method).
Характеристики приборов BELSORP





