Автор: ГалинаРаздел: Анализ микроструктуры материалов
Автор: ГалинаРаздел: Анализ микроструктуры материалов
Автор: Раздел: Атомно-силовая микроскопия
Автор: ГалинаРаздел: Анализ микроструктуры материалов
Автор: ВикторРаздел: Атомно-силовая микроскопия
Автор: ВикторРаздел: Атомно-силовая микроскопия
Автор: ВикторРаздел: Атомно-силовая микроскопия
Автор: ГалинаРаздел: Анализ микроструктуры материалов
Автор: ГалинаРаздел: Анализ микроструктуры материалов
Автор: ВикторРаздел: Анализ микроструктуры материалов
Нажимая кнопку «Подписаться», вы принимаете условия «Соглашения на обработку персональных данных».
Оценка удельной площади поверхности активированного углерода (Тип изотермы I) методом БЭТ

Метод Брунауэра-Эммета-Теллера (сокращенно БЭТ) является наиболее распространенным методом оценки удельной площади поверхности. Он применим к изотермам сорбции II типа и IV типа, и оценка проводится в диапазоне относительного давления p/p0 от 0.05 до 0.30 в соответствии с рекомендациями IUPAC.1Хотя этот метод в основном не применим к изотермам I типа, он часто используется, тем более, что уравнение Ленгмюра не просто использовать. Уравнение Ленгмюра принято для частного случая хемосорбции в одиночном слое, находящемся в свободном контакте с газовой фазой. Кроме того, он не применяется к сложным изотермам, таким как I и II типы (микропористая и внешняя поверхность) или I и IV типы (микро- и мезопористая поверхность).
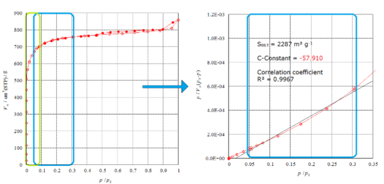
При оценке удельной площади поверхности по БЭТ в стандартном диапазоне давлений, рекомендованном IUPAC, удельная площадь поверхности является заниженной. Таким образом, Рукероль и др. расширили метод БЭТ до изотерм I типа, разработав так называемый график Рукероля. Максимум этого графика (отмеченная синим цветом точка измерения) показывает верхний предел площади поверхности по БЭТ. Все значения измерений выше этого предела не должны использоваться для расчета площади поверхности. Обычно активированный уголь и цеолит с микропорами выдают изотермы адсорбции I типа. На рисунке 1 показано измерение сорбции азота (слева) активированного угля. Также представлен соответствующий график БЭТ в диапазоне давлений от 0.05 до 0.30 (справа).
Рис. 1 Изотерма сорбции азота активированного угля при 77 К, предварительно обработанного при 573 К в вакууме в течение 2 часов (слева) и соответствующий график БЭТ в стандартном диапазоне относительного давления
В этом случае график, предложенный Рукеролем и др. для определения диапазона относительного давления может применяться для выполнения критериев уравнения БЭТ. Этот график показывает соотношение между Va(p0-p) и относительным давлением, как показано на рис. 2. Максимальное значение на оси Y отмечает конец диапазона БЭТ, который может образовывать мультислои в микропорах. Удельную площадь поверхности по БЭТ определяется, принимая относительное давление, определенное этим методом, в качестве конечной точки графика БЭТ. Нижняя точка выбирается как можно более низкой и с хорошей линейностью, что дает положительную константу C. Здесь рассчитанная площадь поверхности по БЭТ составляет 2791 м²/г (C―константа: 3565.8; R²: 0.9998) и намного выше, чем значение, определенное в «неправильном» диапазоне давления (2287 м²/г; см. Рис. 1).
Рис. 2 График Рукероля (слева) и график БЭТ для активированного угля в диапазоне относительного давления согласно Рукеролю и др. (справа)
Этот метод также описан в Приложении ISO9277. В программном обеспечении для анализа BELMaster7 есть функция, с помощью которой любой может легко определить предел диапазона БЭТ.
Чтобы активировать функцию, выполните следующие действия:
1. Выберите изотерму.
2. Нажмите Analysis → BET plot
3. Открыть BET plot → Settings → Analysis parameters settings
4. Выбрать Type I (ISO 9277)
Предел диапазона БЭТ будет отмечен синим цветом, как показано на рис. 2 (справа).
Ссылки
1. M. Thommes, K. Keneko, A. V. Neimark, J. P. Oliver, F. Rodriguez-Reinoso, J. Rouquerol and K. S. W. Sing, PureAppl. Chem. 2015, 87, 1051–1069
2. J. Rouquerol, P. Llewellyn, F. Rouquerol, Stud. Surf. Sci. Catal. 2007, 160, 49–56.
Характеристики приборов BELSORP



