Автор: ГалинаРаздел: Анализ микроструктуры материалов
Автор: ГалинаРаздел: Анализ микроструктуры материалов
Автор: Раздел: Атомно-силовая микроскопия
Автор: ГалинаРаздел: Анализ микроструктуры материалов
Автор: ВикторРаздел: Атомно-силовая микроскопия
Автор: ВикторРаздел: Атомно-силовая микроскопия
Автор: ВикторРаздел: Атомно-силовая микроскопия
Автор: ГалинаРаздел: Анализ микроструктуры материалов
Автор: ГалинаРаздел: Анализ микроструктуры материалов
Автор: ВикторРаздел: Анализ микроструктуры материалов
Нажимая кнопку «Подписаться», вы принимаете условия «Соглашения на обработку персональных данных».
Воспроизводимость измерения распределения пор по размерам с помощью AFSM (улучшенное измерение свободного пространства)

Запатентованный усовершенствованный метод измерения свободного пространства (AFSMTM; патент США: 6.595.036) - это высокоточный метод определения мертвого объема, который не требует постоянного поддержания уровня жидкого хладагента. С помощью AFSMTM можно непрерывно измерять изменение свободного пространства с учетом изменения уровня жидкого хладагента, изменения температуры в помещении во время измерения сорбции и изменения температуры хладагента из-за растворения кислорода. Следовательно, распределение пор по размерам, а также удельная площадь поверхности могут быть оценены с высочайшей точностью.
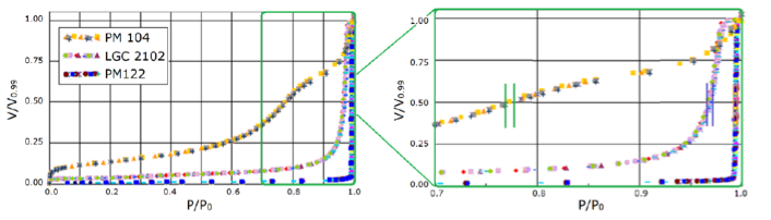
На рисунке 1 показаны до пяти изотерм сорбции азота мезопористого оксида алюминия (BAM-PM-104), сажи (LGC2102) и пористого стекла (BAM-PM-122)) при 77 К (слева), включая увеличенный участок соответствующего диапазона относительного давления (справа).
Рис.1 Изотерма сорбции азота при 77 К и воспроизводимость PM104, LGC2102 и PM122 (слева), и увеличенная область соответствующего диапазона относительного давления (справа)
Показано, что изотермы сорбции азота хорошо воспроизводимы с небольшими отклонениями при использовании метода AFSM. Как показано на рис. 1, поглощение газа каждым материалом происходит при различных относительных давлениях, при этом отмечается самое сильное увеличение поглощения газа (отмечено на рис. 1, справа). Следовательно, все три материала имеют разное распределение пор по размеру и соответственно средний радиус пор.
На рис. 2 показана воспроизводимость расчета распределения пор по размерам для упомянутых материалов с различным средним радиусом пор. Расчет распределения пор по размерам основан на компенсации радиуса мениска rc и толщины t с использованием уравнения Кельвина при 77 К (см. Уравнения 1 и 2).
Уравнение Кельвина при 77 К:
Рисунок 2 показывает, что расчет распределения пор по размерам является хорошо воспроизводимым. Наибольшее увеличение поглощения PM122 происходит при относительном давлении ~ 0.995, что соответствует радиусу пор ~ 195 нм (диаметр: 390 нм; см. рис. 2, выделено оранжевым). Хотя этот диаметр пор близок к максимальному разрешению (диаметр пор 500 нм), погрешность измерения составляет около 6%.
В случае PM104, самые маленькие поры в наших примерах, максимальное увеличение поглощения азота составляет около относительного давления 0.76, что соответствует радиусу пор ~ 4 нм. Получается погрешность измерения около 1% (см. рис. 2, выделено зеленым). Следовательно, чем меньше поры, тем меньше отклонение / погрешность измерения.
Рис. 2 Воспроизводимость распределения пор по размерам PM104 (зеленый), LGC2102 (синий) и BAM PM 122 (оранжевый) (соответствует рис. 1, справа)
Таким образом, метод AFSM, используемый в приборах серии BELSORP, позволяет получить изотермы с высокой точностью. В результате расчет распределения пор по размерам имеет меньшие ошибки измерения по сравнению с другими общепринятыми методами.
Характеристики приборов BELSORP



